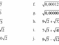
Sederhanakan bentuk akar berikut a √112, pembahasan kunci jawaban Matematika kelas 9 halaman 46 47…
Kunci Jawaban
Tantangan Pada Sebuah Pabrik Kertas HVS Dilakukan Pengemasan Kertas Per Rim (1 Rim = 500 Lembar)
Tantangan Pada sebuah pabrik kertas HVS dilakukan pengemasan kertas per rim (1 rim = 500…
Tentukan Panjang Diagonal Ruang Balok di Bawah Ini dengan Panjang Rusuk AB = 12 cm BC = 5 cm dan CG = 4 cm
Tentukan panjang diagonal ruang balok di bawah ini dengan panjang rusuk AB = 12 cm,…
Sederhanakan Bentuk Operasi Perpangkatan Berikut Ini 18 t³ × 2 t⁻³ Matematika Kelas 9
Sederhanakan bentuk operasi perpangkatan berikut ini a 18 t³ × 2 t⁻³, pembahasan kunci jawaban…
Sederhanakan dalam Bentuk Pangkat Negatif (abc)/(a³bc⁴) Kelas 9 No 4
Sederhanakan dalam bentuk pangkat negatif a (abc)/(a³bc⁴), pembahasan kunci jawaban Matematika kelas 9 halaman 46…
Tantangan Intensitas Bunyi Percakapan Manusia 106 Kali Intensitas Suara Manusia Berbisik
Tantangan Intensitas bunyi percakapan manusia 106 kali intensitas suara manusia berbisik, Sedangkan intensitas bunyi pesawat…
Populasi Bakteri yang Tersebar dalam Suatu Wadah Berbentuk Persegi Panjang Yaitu Sebanyak 4,2 × 107
Populasi bakteri yang tersebar dalam suatu wadah berbentuk persegi panjang yaitu sebanyak 4,2 × 107, pembahasan…
Berpikir Kritis Diberikan Persamaan 5m / 5n = 54 Jawaban Kelas 9 No 6
Berpikir Kritis Diberikan persamaan 5m / 5n = 54 Tentukan dua bilangan m dan n yang bernilai…
Dapatkan Nilai N Dari Pembagian Pada Perpangkatan di Bawah Ini Latihan 1.3 Kelas 9
Dapatkan nilai n dari pembagian pada perpangkatan di bawah ini (s²/s⁴) × (s⁹/s³) = sⁿ, …
Kunci Jawaban Matematika Kelas 5 Volume 1 Halaman 8 Kurikulum Merdeka Latihan
Kunci jawaban Matematika kelas 5 halaman 8 Latihan beserta caranya 86,1 = 8 x [ ]…
Tidak Ada Postingan Lagi.
Tidak ada lagi halaman untuk dimuat.